Mathison grades your exams —
so you can focus on teaching.
Fair, fast, and handwriting-ready exam grading.

Detailed Rubric Analysis
Suggested Grade:
Grade Objection: Denied
All markings confirmed as correct
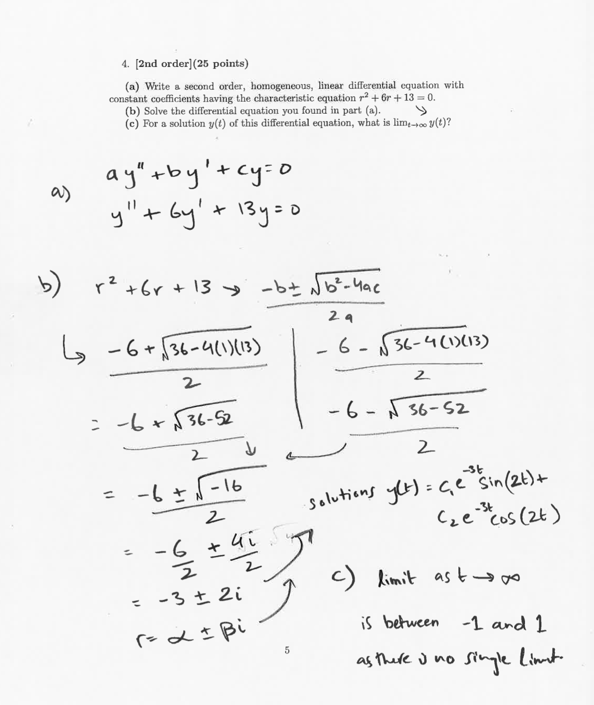
Student objected to part (c) grading
AI review confirms: Missing explanation justifies the 5-point deduction. Original grade of 20/25 is accurate.
Personalized Feedback
Excellent work on parts (a) and (b)! Your differential equation setup was perfect, and you correctly applied the quadratic formula to find the characteristic equation. The general solution with complex roots is beautifully written.For part (c): While you correctly identified that the limit is between -1 and 1, remember to explain why the solution approaches 0 as t → ∞. Since e^(-3t) → 0 and cos(2t), sin(2t) are bounded, the entire solution y(t) → 0. This mathematical reasoning is crucial for full credit.
Clean, Intuitive Interface
Experience seamless grading workflows with our thoughtfully designed platform interface.

AI Grading Review
Comprehensive grading interface with detailed rubric breakdown, confidence scoring, and instant feedback generation. Review and approve AI-generated grades with full transparency.
- Question-by-question analysis
- Confidence level indicators
- Detailed rubric scoring
Exam Upload & Processing
Streamlined upload process with drag-and-drop functionality, camera scanning, and intelligent processing settings. Configure grading parameters and AI settings for optimal results.
- Multiple upload methods
- Customizable AI settings
- Quick processing options

Grading Process
Watch the complete grading workflow in action. From rubric evaluation to detailed feedback generation, see how Mathison ensures consistent and fair assessment.
- Real-time rubric application
- Automated feedback generation
- Grade distribution analysis

Complete Grading Dashboard
Manage your entire grading workflow from a single, powerful interface designed for educators.

Learn from every mistake
Transform your learning experience with detailed feedback that helps you understand exactly where and why you made errors.
See exactly where you went wrong — step by step.
Pinpoint the exact moment your solution diverged from the correct path.
Get detailed feedback on each solution, not just a final grade.
Understand your reasoning process and learn from comprehensive analysis.
Track your learning progress over the semester.
Monitor your improvement and identify patterns in your learning journey.


Stay connected to your child's progress
Get transparent insights into your child's academic journey with clear, actionable reports that help you support their learning.
Receive clear reports about your child's strengths & weaknesses.
Understand exactly where your child excels and where they need additional support.
Follow their improvement over time — transparently and fairly.
Track progress with visual analytics that show growth patterns and learning trends.
Trust that every grade is consistent, unbiased, and fair.
Rest assured knowing AI-powered grading eliminates human bias and maintains fairness.
Supercharge Academic Efficiency
Keep instructors focused by automating the most time-consuming part of evaluation.
How Mathison AI Works
Our AI-powered platform transforms the assessment process with a simple yet powerful workflow.
Our 5-Step Grading Process
From setup to completion, our streamlined workflow ensures efficient and accurate assessment
Classes Setup
Select and manage your classes with intuitive organization tools.
Assignment Details
Configure assignment parameters.
Grading Criteria
Set up detailed rubrics and evaluation standards for consistency.
Submissions
Effortlessly upload and organize all student submissions securely.
Grading Progress
Monitor the grading progress with 100% transparency.
Hear from the Experts
Transforming Education
See how Mathison makes a difference in the lives of teachers, students, and parents

For Teachers
"I save 10+ hours every week."
Automated grading gives teachers their time back to focus on what matters most - teaching and student engagement.

For Parents
"I can follow my child's learning."
Transparent reporting helps parents stay connected and support their child's educational journey effectively.

For Students
"I know where to improve."
Detailed feedback empowers students to understand their mistakes and accelerate their learning progress.
Built for Excellence
Proven in pilots — already making a difference.
Our AI consistently matches expert evaluator scores across diverse mathematical problems and assessment types.
Reduce grading time from hours to minutes while maintaining the quality and detail of manual evaluation.
Automated objection processing with comprehensive audit trails ensures fair and transparent grade appeals.
Transform Assessment at your Institution
Enterprise-ready AI grading that meets your security standards, integrates seamlessly, and delivers immediate value
Currently in Beta Testing
Backed by TÜBİTAK 1812 research program with comprehensive security and privacy protocols in development.
Easy LMS Integration
Seamless integration with Canvas, Blackboard, Moodle, and more. Deploy across your entire institution in minutes, not months.
Start with a Free Trial
Try Mathison risk-free for 30 days. Full access to all enterprise features with dedicated onboarding support.
Frequently Asked Questions
Quick answers to common questions about our platform
How accurate is Mathison's handwriting recognition and grading?
Mathison achieves 90%+ grading accuracy on handwritten exams across mathematics, physics, and chemistry. Our advanced OCR technology reads student handwriting while our AI evaluates mathematical reasoning, formula application, and step-by-step solutions.
How does rubric alignment work in grading?
Teachers can create custom rubrics or use pre-built templates. Mathison automatically aligns student responses to rubric criteria, assigns points based on demonstrated understanding, and provides detailed breakdown of how each answer meets specific learning objectives.
What kind of student feedback does Mathison provide?
Students receive detailed feedback highlighting specific strengths and areas for improvement. The system identifies misconceptions, suggests study resources, and provides step-by-step explanations for incorrect solutions to support learning progression.
What parent reports are available?
Parents receive comprehensive reports with visual charts showing performance trends, GPA tracking, subject-wise analysis, and skills assessment radar charts. Reports include detailed insights into their child's strengths and areas needing support.
How does automated grading handle different handwriting styles?
Mathison's OCR technology is trained on diverse handwriting samples and adapts to individual student writing styles. The system continuously improves recognition accuracy and flags uncertain text for teacher review when confidence is low.
Can teachers customize grading rubrics for different subjects?
Yes, teachers can create subject-specific rubrics with weighted criteria for mathematics, physics, chemistry, and other disciplines. The platform includes templates for common assessment types and allows full customization of point allocation and evaluation criteria.
How detailed is the feedback provided to students?
Mathison provides comprehensive feedback including step-by-step solution analysis, identification of mathematical errors, conceptual understanding assessment, and personalized recommendations for improvement based on demonstrated knowledge gaps.
What grading insights do parent reports include?
Parent reports feature performance analytics, grade trends over time, subject-specific strengths and weaknesses, comparison with class averages, and actionable recommendations for supporting their child's academic progress at home.
Be First to Transform
Your Grading Experience
Join thousands of educators already on our waitlist. Get early access to Mathison AI and revolutionize how you grade handwritten exams.